В ноябре 2025 вышла статья Maria Strømme «Universal consciousness as foundational field: A theoretical bridge between quantum physics and non-dual philosophy.» AIP Advances 15, 115319 (2025) https://doi.org/10.1063/5.0290984
Я считаю, что статья очень важная ибо она открывает новую веху в научном принятии парадигмы, что сознание первично, а материя и время — вторичны. Я решила перевести эту статью, как минимум для себя и тех, кто исследует те же пространства нашей психики, что и я. Ибо я буду ссылаться на эту статью и мне важно, чтобы она была в доступе для прочтения не только в англоязычной среде. Англоязычная статья лежит в свободном доступе тут. Но с моей точки зрения подобные новейшие парадигмы должны быть в максимально широком доступе и именно это является моей мотивация сделать перевод и опубликовать на своем сайте.
Природа сознания и его связь с физической реальностью остаются одними из самых глубоких научных и философских проблем. В данной статье представлена новая концептуальная модель, интегрирующая сознание с фундаментальной физикой, предполагающая, что сознание является не эмергентным свойством нейронных процессов, а фундаментальным аспектом реальности. Основываясь на идеях квантовой теории поля и недуальной философии, вводится модель, базирующаяся на трех принципах: универсальном разуме, универсальном сознании и универсальном мышлении. Эти принципы описывают лежащий в основе бесформенный интеллект (разум), способность к осознанию (сознание) и динамический механизм, посредством которого возникают опыт и дифференциация (мышление). В рамках этой модели возникновение пространства-времени и индивидуального осознания моделируется математически путем рассмотрения универсального сознания как фундаментального поля. Дифференциация в индивидуальный опыт происходит посредством таких механизмов, как нарушение симметрии, квантовые флуктуации и дискретный выбор состояний — параллельно устоявшимся концепциям физики, включая имплицитный порядок Бома, потенциалы Гейзенберга и партиципативную вселенную Уилера. Эта модель предполагает, что кажущаяся обособленность индивидуального сознания является иллюзией, и весь опыт в конечном итоге возникает из единого бесформенного субстрата. Предложенная концепция согласуется с новыми теориями квантовой гравитации, теории информации и космологии, которые постулируют классическое пространство-время как результат более глубокого допространственно-временного порядка. Она предлагает нередукционистскую альтернативу в нейробиологии, предполагая, что сознание взаимодействует с физическими процессами как фундаментальное поле. Опираясь на идеи физики, метафизики и философии, эта концептуальная основа предлагает новые направления для междисциплинарного исследования природы сознания и происхождения структуры и опыта.
I. ВВЕДЕНИЕ
Человечество всегда стремилось понять свое место во Вселенной, борясь с глубокими вопросами существования: какова природа реальности? Как возникает сознание и какую роль оно играет в формировании окружающего нас мира? Эти вопросы — не просто интеллектуальные любопытства; они затрагивают сущность того, что значит быть человеком. В поисках ответов цивилизации обращались к различным областям — философии, религии, науке и искусству — стремясь найти решения, которые находили бы отклик как в рациональном, так и в интуитивном плане.
Вступая в эпоху трансформации в истории человечества, отмеченную стремительным развитием искусственного интеллекта (ИИ),¹ понимание природы сознания становится важнее, чем когда-либо. Генеративные системы ИИ, способные создавать человекоподобный текст, произведения искусства и даже принимать решения, заставляют нас столкнуться с фундаментальными вопросами: чем отличается машинный интеллект от человеческого или вселенского сознания? Как возникает сознание и может ли оно существовать за пределами биологических субстратов? Просто ли ИИ имитирует мышление, или в конечном итоге он может быть связан с более глубокими принципами сознания?
Эти вопросы подчеркивают острую необходимость научного понимания сознания, которое интегрирует его универсальные и индивидуальные аспекты. Без такого понимания развитие ИИ рискует углубить экзистенциальную неопределенность и этические дилеммы. Следовательно, сознание — это не просто философская загадка; оно лежит в основе некоторых из самых насущных проблем нашего времени, от этики в ИИ до понимания происхождения самой жизни.
Попытки понять сознание часто сопровождались разделением между материалистической наукой и метафизической философией. (2–4) Современные научные подходы, основанные на материализме, склонны рассматривать сознание как побочный продукт нейронных процессов. (4) Хотя эта перспектива принесла невероятные открытия, она часто игнорирует мудрость метафизических традиций, которые рассматривают сознание как первичную, универсальную основу существования. (2,3)
Преодоление этого разрыва — это не просто академическое упражнение; это необходимо для создания целостного понимания реальности. Без примирения материальной и метафизической перспектив наше понимание существования остается неполным, а наша способность решать великие вопросы жизни и Вселенной остается ограниченной.
Философские и духовные традиции исторически рассматривали сознание как первичную сущность. В Адвайта-веданте, например, сознание (Брахман) является высшей реальностью, из которой возникает материальный мир. (5) Буддийская философия подчеркивает взаимозависимость и идею Шуньяты (пустоты),(6) что согласуется с представлением о том, что форма возникает из бесформенной области.(3) Аналогично, христианский мистицизм и исламский суфизм описывают божественное как бесконечное присутствие, пронизывающее все существование.(7,8) Эти традиции разделяют общее понимание: сознание универсально, вечно и является основополагающим для природы реальности.
Такие мыслители, как Эрвин Шрёдингер, разделяли эту точку зрения. В своей основополагающей работе «Что такое жизнь?» Шрёдингер утверждал, что сознание является единым и неделимым, предполагая глубокую связь между наблюдателем и наблюдаемым.(⁹) Однако эти взгляды в значительной степени оставались философскими, что создавало пробел в их интеграции с современными научными методами.
В отличие от этого, современные научные подходы в основном стремятся объяснить сознание как возникающее явление в мозге. Например, когнитивная нейронаука моделирует сознание как результат сложных нейронных процессов и интеграции информации.(⁴) Эта точка зрения остается основанной на материализме, рассматривая сознание как вторичное по отношению к физическим процессам.
Теория оркестрованного объективного редукции (Orch OR) Роджера Пенроуза и Стюарта Хамероффа представляет собой частичный отход от этой парадигмы. Хотя она привязывает сознание к биологическим структурам — в частности, к оркестрованным редукциям квантовых состояний в микротрубочках мозга — она также вносит радикальный онтологический сдвиг. В рамках теории Orch OR предполагается, что эти редукции обусловлены самой геометрией пространства-времени и что примитивные протосознательные события могут происходить независимо от мозга, будучи встроенными в ткань Вселенной.(10–13) В этом смысле теория Orch OR находится на границе между материалистической нейронаукой и метафизическими спекуляциями: высшее сознание рассматривается как результат биологической координации, но основополагающие составляющие сознания воспринимаются как фундаментальные особенности реальности. Эта попытка преодоления разрыва, хотя и значительная, все же оставляет открытым более глубокий метафизический вопрос: является ли сознание фундаментальным полем или возникающим процессом? Разрыв между научным материализмом и метафизической философией сохраняется, подчеркивая необходимость концептуальной основы, способной интегрировать эти перспективы. Значимая концептуальная основа должна не только исследовать, как бесформенная, универсальная природа сознания связана с его дифференциацией на индивидуальный опыт, но и интегрировать идеи из философии, физики и нейронауки, преодолевая разрыв между материалистической и метафизической парадигмами.
Три принципа (3П 3Ps) разума, сознания и мышления, предложенные Сидни Бэнксом, (14) предлагают новый взгляд на это разделение.(15) Бэнкс подчеркивал, что эти принципы бесформенны и вечны, существуют до пространства, времени и материи. Философия начинается с предпосылки, что сознание не локализовано и не возникает само по себе, а является универсальной, бесформенной реальностью, из которой возникают все переживания.(14) В отличие от подходов, которые начинают с мозга и рассматривают сознание как локализованное явление, Бэнкс начинает с универсального и исследует, как индивидуальность возникает из бесформенного целого. Представляя 3П таким образом, Бэнкс предлагает нам переосмыслить природу самой реальности.(16) В этой концепции,
Разум представляет собой универсальный творческий интеллект, источник всего потенциала и движущую силу творения. Он является метафизическим фундаментом, из которого возникают все дифференциация и структура. Следовательно, он созвучен духовным представлениям о божественном или универсальном источнике.
Сознание — это универсальная способность к осознанию, позволяющая воспринимать и переживать все формы. Это субстрат, посредством которого реализуются пространство, время и материя, и
Мысль — это творческий механизм, который преобразует бесформенный потенциал разума и сознания в субъективные, структурированные реальности индивидуального опыта.
Эти принципы предполагают принципиально недвойственную реальность — единое, бесформенное целое, из которого возникает кажущееся многообразие существования.
Развивая понимание того, как сознание и мысль формируют человеческую реальность, программы, основанные на 3Ps, продемонстрировали преобразующие результаты в различных социальных условиях (16–19) [см. дополнительные материалы S1].
Эта перспектива согласуется как с духовными традициями, так и с новыми идеями в физике. Квантовый вакуум, например, понимается как фундаментальное состояние Вселенной, содержащее потенциал для всех физических явлений.(20) Аналогично, модели до Большого взрыва в космологии описывают вневременную, безпространственную область, из которой, как считается, возникла наблюдаемая Вселенная.(21)
Недавние достижения в квантовой физике дали новые представления о том, как классическая реальность возникает из более глубокого квантового фундамента. Растущее число исследований предполагает, что классическое поведение не является фундаментальным, а скорее эмергентным свойством квантовой динамики. Страсберг и др. недавно продемонстрировали, что классичность возникает естественным образом в рамках унитарной квантовой эволюции посредством экспоненциального подавления квантовой когерентности, оспаривая представление о том, что классические законы являются первичными.(22) Это подтверждает идею о том, что реальность, которую мы переживаем, не является присущей классической структурой, а проявлением более глубоких, основополагающих принципов — перспектива, которая согласуется с теориями, предлагающими сознание как фундаментальный аспект существования.
Интегрируя 3Ps (14) с квантовой механикой и теорией поля,(23,24) в данной статье предлагается математическая основа для сознания. Разум моделируется как универсальный интеллект, движущий эволюцией реальности. Сознание представлено как фундаментальное поле, лежащее в основе осознания и опыта. Мысль служит механизмом преобразования потенциальности в структурированную реальность (рис. 1).

Иллюстрация, изображающая интеграцию разума, сознания и мысли на основе квантово-механических концепций, описанных в статье. Разум представляет собой универсальный творческий интеллект, источник всего творения. Сознание представляет собой универсальное осознание, позволяющее воспринимать пространство, время и материю. Оно действует как субстрат, придавая структуру и форму бесформенному потенциалу разума и соединяя бесконечное и физическое. Мысль представляет собой творческий механизм, преобразующий бесконечный потенциал разума и универсальное осознание сознания в индивидуализированные, структурированные реальности.
Эта модель переосмысливает Большой взрыв как дифференциацию вселенского сознания и предоставляет математическую основу для понимания нелокальности, возникновения пространства-времени и структуры субъективного опыта.
II. МАТЕМАТИЧЕСКАЯ ОСНОВА
В представленной концепции творческий интеллект (Разум) — это не локализованный или личностный «разум», а метафизическая сила, которая
i. обеспечивает структуру поля универсального сознания Φ, по аналогии с Бомом и Хайли, (25) в которых лежащее в основе поле структурирует реальность,
ii. приводит к дифференциации этого поля из вневременного, бесформенного потенциала
в структурированные состояния
и,
iii. обеспечивает согласованность в эволюции реальности, связывая недифференцированный источник с дифференцированными физическими явлениями.
Разум рассматривается как источник всей дифференциации и творчества. Его влияние моделируется математически с помощью операторов и потенциалов, которые управляют поведением поля сознания. (23,26)
Поле сознания Φ является центральной сущностью в этой концепции. Оно служит источником всех явлений, включая пространство, время, материю и индивидуальное сознание. Подобно физическим полям, Φ может
iv. существовать в недифференцированном состоянии
и,
v. дифференцироваться на локализованные возбуждения
, порождая физические структуры или индивидуальное сознание.
А. До Большого взрыва: Вечное универсальное сознание
Концепция универсального сознания до Большого взрыва является центральной в этой концепции. В этом состоянии реальность существует как вневременной и недифференцированный потенциал, без пространства, времени и материи. В этом разделе рассматривается математическое представление этого состояния, его параметры и механизмы, посредством которых начинается дифференциация.
1. Недифференцированное состояние ![]()
представляет собой вневременное, недифференцированное состояние вселенского сознания. Это суперпозиция всех возможных конфигураций реальности, существующая в состоянии чистого потенциала.(27) Математически,
1
Здесь
являются дифференцированными состояниями, которые могут возникнуть из
таких как пространство-время, энергия, материя или индивидуальное сознание/субъективный опыт, а ck — комплексные коэффициенты, представляющие «веса» или вероятности, связанные с каждым
определяющие «вероятность» возникновения конкретного дифференцированного состояния во время коллапса недифференцированного состояния. Следовательно,
— это относительная вероятность возникновения
.
Обоснование использования суперпозиции здесь заключается в том, что она представляет собой состояние, в котором одновременно сосуществуют множественные возможности, пока наблюдение или взаимодействие не приведет к коллапсу системы в одно состояние. (26) Применение этой концепции к
учитывает как вневременность, так и потенциальность; ![]()
существует вне времени, поэтому все возможности сосуществуют без временной прогрессии, а суперпозиция отражает бесконечный потенциал вселенского сознания до дифференциации. (20)
2. Механизм коллапса: переход от вневременного к дифференцированному
Ключевым выводом, вытекающим из концепции 3Ps, является осознание того, что мысль
может не только формировать субъективные переживания, но и служить фундаментальным механизмом коллапса на универсальном уровне. Здесь мысль может инициировать коллапс универсального сознания Φ в дифференцированные состояния, направляя возникновение индивидуальной и коллективной реальности. На индивидуальном уровне мысль продолжает структурировать субъективные переживания, еще больше дифференцируя и персонализируя локализованное сознание.
Эта двойная роль подчеркивает роль мысли как моста между универсальным и индивидуальным, усиливая недвойственную природу реальности. Мысль коллапсирует бесформенный потенциал в структурированные формы, беспрепятственно функционируя на метафизическом и физическом уровнях. Это показывает, что мысль не только формирует восприятие, но и активно участвует в самом акте созидания и дифференциации.
Таким образом, переход от
к
моделируется как процесс коллапса, управляемый оператором универсального мышления
, творческим механизмом, посредством которого разум инициирует дифференциацию (20,28)
2
Следует подчеркнуть, что вселенское мышление — это не личное интеллектуальное мышление, а бесформенная, созидательная сила, отражающая метафизический процесс, посредством которого недифференцированное переходит в форму.
Коллапс, инициированный вселенским мышлением, не является временным (поскольку времени еще не существует), а представляет собой вневременной созидательный акт разума, сродни возникновению формы из бесформенности или реализации потенциала в действительности. (20,22,26)
Коллапс вселенского сознания
в дифференцированные состояния
является центральным элементом возникновения пространства-времени, материи и субъективного опыта. Хотя вселенское мышление служит всеобъемлющим механизмом, инициирующим этот коллапс, существует несколько путей, по которым может произойти эта дифференциация. Ниже обсуждаются правдоподобные механизмы, которые могли бы способствовать переходу от недифференцированного состояния к структурированным формам, отражающим присущую разуму креативность.
а. Нарушение симметрии.
Нарушение симметрии — это фундаментальный процесс в физике, при котором система переходит из симметричного состояния в асимметричное, часто из-за возмущений или нестабильностей. Здесь коллапс
, который предполагается симметричным и не отдающим предпочтение какому-либо конкретному дифференцированному состоянию, может быть смоделирован как спонтанное нарушение исходной симметрии, вызванное универсальным мышлением. Поле сознания Φ эволюционирует в соответствии с потенциалом V(Ф),
3
Изначально Φ находится в точке Φ0, отражая недифференцированное состояние вселенского сознания. Вселенское мышление вносит незначительные возмущения, вызывая смещение поля от Φ0 и нарушение симметрии. Этот процесс приводит к возникновению дифференцированных состояний
.
Потенциал V(Ф)играет решающую роль в моделировании того, как недифференцированное состояние вселенского сознания ![]()
переходит в дифференцированные состояния
. В физических системах потенциалы описывают «ландшафт», через который развивается поле, направляя его переход из одного состояния в другое. Здесь V(Ф)служит математическим представлением того, как вселенское сознание дифференцируется в структурированные формы. V(Ф) можно визуализировать как «двойную яму», подобную моделям в физике элементарных частиц и космологии. Эта аналогия согласуется с подходом к нарушению симметрии в квантовой теории поля ((QFT). (²³) Она также резонирует с космологическими моделями, где скалярные поля подвергаются нарушению симметрии для создания структуры в ранней Вселенной. (²⁹⁻³¹) В этих моделях система изначально находится в симметричном состоянии («вершина холма»), но флуктуации (здесь, введенные вселенским мышлением) приводят к тому, что она «выбирает» одну из ям, тем самым производя дифференциацию.
Параметр λ контролирует крутизну потенциальной ямы или интенсивность перехода, то есть, насколько «резким» или «плавным» является процесс дифференциации. Большое значение λ приводит к внезапной дифференциации, тогда как меньшее значение λ приводит к постепенным, плавным переходам. Это отражает то, как некоторые универсальные явления проявляются немедленно, в то время как другие развиваются постепенно с течением времени. Φ0 — это равновесное или «вакуумное» ожидаемое значение, представляющее собой точку, вокруг которой поле стабилизируется после дифференциации. В недифференцированном состоянии Φ ≈ Φ0, что минимизирует V(Ф), то есть система находится в симметрии. Это отражает универсальное сознание в его чистейшей, неделимой форме — весь потенциал и никакой структуры. Небольшое возмущение или флуктуация (инициированная ) приводит к тому, что поле отклоняется от Φ0, нарушая симметрию и приводя к дифференциации.
Форма
обеспечивает, что при Φ ≈ Φ0 потенциал V(Ф) минимизируется (стабильное состояние). По мере отклонения Φ от Φ0 , V(Ф) увеличивается, отражая сопротивление изменениям — метафизическую «инерцию», которая сохраняет единство до тех пор, пока не потребуется дифференциация. Эта структура создает два возможных минимума (в аналогии с двойной ямой), иллюстрируя возникновение различных, но взаимосвязанных дифференцированных состояний.
В метафизическом смысле V(Ф) представляет собой «ландшафт», по которому движется вселенское сознание, находясь под влиянием вселенской мысли. Потенциал отражает присущее разуму стремление создавать форму из бесформенного, при этом λ представляет интенсивность творческой силы.
б. Квантовые флуктуации.
Квантовые флуктуации — это спонтанные, случайные вариации, которые происходят даже в вакуумных состояниях.(32) Аналогично, в этой модели недифференцированное состояние
может испытывать внутренние флуктуации — небольшие, спонтанные отклонения от идеальной симметрии, — которые инициируют процесс дифференциации.
Эти флуктуации можно моделировать как возмущения δΦ в поле сознания,
4
где δΦ представляет собой случайные отклонения от равновесия.
Эти квантовоподобные флуктуации могут дестабилизировать однородность Φ, подталкивая систему к дифференциации. Универсальное мышление усиливает определенные флуктуации, направляя возникновение ![]()
Этот механизм отражает процессы, наблюдаемые в космологии ранней Вселенной, где квантовые флуктуации в инфляционном вакууме растягиваются и усиливаются, создавая крупномасштабную структуру. (26) Он также согласуется с трактовкой квантовых флуктуаций в искривленном пространстве-времени.(33)
Более того, эта перспектива согласуется с взглядами квантовой космологии и квантовой гравитации, где случайность на квантовом уровне играет ключевую роль в возникновении структуры и классичности.(32) Стохастическая природа этого пути отражает присущую универсальному мышлению креативность и непредсказуемость, которая преобразует чистый потенциал в организованные, сложные формы.
c. Саморефлексия и творческое возникновение.
Саморефлексия представляет собой уникальный механизм, посредством которого вселенское сознание может дифференцироваться, осознавая себя. В этом контексте дифференциация возникает из интроспективного акта вселенского разума, наблюдающего за своим собственным бесконечным потенциалом — творческой петли обратной связи, в которой само осознание порождает форму.
Коллапс на этом пути моделируется как проекция
на дифференцированные состояния, (5)
5
где Pk — оператор проекции, соответствующий каждому дифференцированному состоянию. (26) Этот формализм находит теоретическую поддержку в исследованиях Бома и Хайли, (25) которые исследовали онтологическую роль квантовых операторов и нелокальности в структурировании физической реальности. Их интерпретация подразумевает, что более глубокие слои реальности разворачиваются посредством активного процесса откровения, подобного саморефлексии.
Акт универсального мышления здесь понимается как метафизическое наблюдение — выбор скрытых возможностей внутри ![]()
и проецирование их в реальность. Это отражает процесс квантового измерения, описанный в фундаментальной квантовой теории, где акт наблюдения приводит к коллапсу суперпозиции в определенный результат.(26,28)
Более того, этот процесс перекликается с концепцией сопричастной вселенной Уилера, в которой реальность не пассивно наблюдается, а активно сотворяется посредством сознательного взаимодействия.(26) Стапп расширяет эту концепцию, утверждая, что сознательные акты наблюдения являются неотъемлемой частью проявления физических событий.(28)
Этот механизм подчеркивает творческий и сопричастный характер осознания, предполагая, что вселенная, посредством функционирования разума и мысли, «наблюдает» за собой, принимая дифференцированную форму.
Хотя нарушение симметрии, квантовые флуктуации и саморефлексия иллюстрируют правдоподобные пути, эти механизмы не являются исчерпывающими. Будущие исследования могут выявить дополнительные принципы, лежащие в основе этого творческого процесса. Возможные расширения включают в себя: (i) внешние взаимодействия, где дифференциация может быть обусловлена взаимодействиями между универсальным сознанием и вторичными метафизическими или физическими полями; (ii) нелинейную динамику, для которой коллапс может включать сложные нелинейные взаимодействия внутри поля сознания, приводящие к появлению эмергентных свойств, выходящих за рамки существующих моделей; и (iii) многомерный коллапс, при котором дифференциация может происходить одновременно в нескольких измерениях, при этом некоторые измерения остаются латентными или скрытыми до тех пор, пока не будут активированы мыслью.
Независимо от пути развития, универсальное мышление
служит катализатором творчества, инициируя коллапс и направляя возникновение структурированных форм.
Б. Эпоха после Большого взрыва: Возникновение пространства-времени
С коллапсом вселенского сознания
на дифференцированные состояния
инициированным вселенской мыслью ![]()
пространство-время и материя возникают как наблюдаемые аспекты реальности. В этом разделе исследуется, как поле сознания Φ развивается в рамках пространства-времени и как оно порождает структуру после коллапса.
Процесс дифференциации приводит к (i) созданию структурированных состояний,
представляющих собой фундаментальные строительные блоки пространства-времени, энергии и материи. Это параллельно космологическим моделям, в которых пространство-время возникает из более глубоких, не пространственно-временных структур (21,34), и (ii) переходу от вневременного и бесформенного потенциала
в динамичную, развивающуюся реальность, управляемую пространством-временем. (30)
В этой концепции пространство-время не существует изначально, а является эмергентным свойством, возникающим в результате процесса дифференциации. (30) Эволюционирующее поле сознания Φ кодирует свойства и динамику самого пространства-времени, резонируя с эмергентными теориями пространства-времени в квантовой гравитации, где пространство и время возникают из запутанности, информации или более фундаментальных квантовых полей. (34,35)
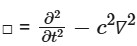
После коллапса, если нарушение симметрии управляет переходом, Φ эволюционирует в соответствии с волновым уравнением
6
Оператор д’Аламбера
управляет распространением волн в релятивистских теориях поля. (23,24) По аналогии, этот формализм используется для описания того, как поле сознания распространяется в пространстве-времени. V(Ф), описанный ранее, определяет, как Φ продолжает дифференцироваться и развиваться после коллапса. Оператор д’Аламбера отражает то, как возмущения в поле (такие как структура или осознание) распространяются в среде пространства-времени.
Локализованные отклонения ∂Φ внутри поля сознания соответствуют областям структуры — подобным частицам, космическим структурам или разумным существам. Эти возмущения отражают роль квантовых флуктуаций в формировании космической структуры во время инфляции (30) и перекликаются с поведением квантовых полей в искривленном пространстве-времени. (33)
В зависимости от механизма коллапса — нарушения симметрии, квантовых флуктуаций или проекции — могут наблюдаться различные динамические процессы, включая классическую волновую эволюцию, стохастическое возникновение или дискретную проекцию в локализованные дифференцированные состояния.
1. Связь сознания и физической реальности
Поле сознания Φ выступает источником как метафизического осознания, так и физических структур. Его эволюция связывает метафизические принципы разума, сознания и мышления с физическими принципами, управляющими пространством-временем и материей.
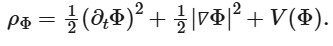
Плотность энергии поля сознания (ρΦ) может принимать различные формы в зависимости от механизма коллапса, управляющего переходом от недифференцированного к дифференцированному состоянию. При нарушении симметрии (динамика, управляемая потенциалом) поле ведет себя следующим образом:
7
Здесь (∂tΦ) и |∇Φ| представляют собой временную и пространственную эволюцию поля, в то время как потенциал V(Ф) определяет процесс дифференцирования после коллапса. Эта формулировка отражает полевые теоретические подходы в сценариях спонтанного нарушения симметрии (23,29), где локализованные структуры (например, космические струны или доменные стенки) возникают из возмущений скалярного поля.
Когда дифференцирование обусловлено квантовыми флуктуациями, поле сознания эволюционирует более свободно, находясь под влиянием стохастических возмущений.
8
Эти возмущения напоминают квантовые флуктуации в искривленном пространстве-времени (30,33), которые в космологии служат зародышами для крупномасштабных структур. Аналогично, здесь они действуют как созидательная сила, порождая вариации и сложность из изначально однородного поля.
В механизмах, основанных на проекции, плотность энергии отражает сумму квадратов амплитуд проекционных компонентов, а не кинетические или градиентные вклады, поскольку дифференцирование происходит дискретно, а не динамически посредством дискретного выбора состояния.
9
Здесь каждый Pk представляет собой оператор проекции, выбирающий определенное дифференцированное состояние из недифференцированного поля. Этот подход параллелен теории квантового измерения, в которой акт наблюдения сводит суперпозицию к определенному собственному состоянию.(26) Исследование Бома и Хайли предполагает, что такой выбор состояния может быть обусловлен более глубоким, имплицитным порядком.(25)
Эти формулировки подчеркивают гибкость поля сознания; оно может вести себя как классическая волна, квантовое поле, подверженное флуктуациям, или как процесс, основанный на проекции, который актуализирует потенциальность в форму. В каждом случае метафизические принципы — разум, сознание и мысль — проявляются через физические аналоги в динамике поля, подтверждая основной тезис модели о том, что физическая реальность возникает из универсального субстрата сознания.
2. Пространство-время и индивидуальное сознание
По мере эволюции поля сознания Φ после коллапса локализованные возбуждения проявляются как индивидуальное сознание. Эти возбуждения появляются в виде «ряби» или дискретных проекций в универсальном поле, соответствующих разумным существам, способным к осознанию и субъективному опыту. Эта интерпретация согласуется с квантовой теорией поля QFT, где локализованные возбуждения фундаментального поля соответствуют частицеподобным структурам.(23) В этой концепции индивидуальное сознание моделируется как локализованная структура, возникающая в дифференцированном поле сознания — подобно квантовому возбуждению, возникающему из вакуума.
В потенциально-управляемых механизмах (таких как спонтанное нарушение симметрии) индивидуальное сознание возникает как стабильные локализованные области поля. Эти структуры формируются по мере того, как Φ переходит в минимумы более низких энергий, определяемые потенциалом V(Ф), подобно тому, как поля в ранней космологии претерпевали фазовые переходы, которые приводили к возникновению космических структур. (29–31)
Эта аналогия отражает то, как универсальное поле, изначально недифференцированное, может генерировать стабильные и разнообразные структуры посредством нарушения симметрии — структуры, которые в данном контексте соответствуют отдельным разумным сущностям.
В дополнительных материалах S2 описывается, как индивидуальное сознание может возникать в результате других механизмов коллапса.
Хотя индивидуальное сознание дифференцировано, оно остается взаимосвязанным с универсальным полем, из которого возникло. Это отражает недвойственную природу реальности, где индивидуальность представляет собой локализованное возбуждение, но лежащее в её основе поле остается единым. Такая точка зрения согласуется с Адвайта-ведантой, которая утверждает, что индивидуальность иллюзорна и всё сознание в конечном итоге является Брахманом,(5) с имплицитным порядком Бома, где кажущееся разделение разворачивается из более глубокого единства,(20) и с голографическим принципом, где каждая часть содержит информацию о целом.(35)
Это имеет двоякий смысл:
Динамическое пространство-время развивается параллельно с Φ, представляя собой взаимосвязанную модель реальности. Это согласуется с моделями квантовой гравитации, предполагающими, что само пространство-время возникает из лежащей в его основе информационно-теоретической или запутанной структуры. (21,35)
Эволюция Φ после Большого взрыва отражает неразрывное единство между фундаментальными принципами и физическими процессами, усиливая взаимосвязанный характер существования. Это согласуется с перспективами квантовой космологии и недвойственных концепций, где физическая реальность неотделима от лежащих в её основе сознательных принципов. (2,20)
C. Возникновение разумных существ
В этом разделе исследуется связь между полем сознания и возникновением индивидуальности, моделируется, как универсальные принципы проявляются в субъективном опыте разумных существ.
1. Связь между универсальным и индивидуальным сознанием
Универсальная мысль
управляет коллапсом недифференцированного универсального сознания
в дифференцированные состояния
, как описано в уравнении (2), что знаменует создание структурированной реальности из бесформенного потенциала. Это согласуется с интерпретациями в квантовой космологии, где коллапс волновой функции из предпространственного квантового состояния приводит к возникновению различных физических структур. (34)
По мере возникновения пространства-времени и материи универсальная мысль продолжает действовать, коллапсируя дифференцированные состояния в локализованные формы осознания, которые соответствуют индивидуальному сознанию,
10
Здесь
представляет собой возникновение индивидуального сознания, локализованного в пространстве-времени. Это параллельно теориям квантовой информации и квантового познания, где сознательный опыт может быть смоделирован как редукция потенциальных состояний в конкретные наблюдаемые реальности. (25,28,36) Эти возбуждения соответствуют рождению разумных существ — структурированных выражений осознания в более широком поле сознания.
Таким образом, универсальное мышление позволяет осуществлять дифференциацию путем выбора определенных паттернов или возбуждений в рамках универсального сознания и формирования их в согласованные переживания или субъективные реальности. (26) Эта точка зрения согласуется с теориями квантового разума, которые предполагают, что сознание возникает из упорядоченных процессов отбора, действующих на фундаментальное поле потенциала.(13)
В механизмах, управляемых потенциалом и основанных на флуктуациях, эволюция поля сознания Φ естественным образом приводит к локализованным возбуждениям, проявляющимся как индивидуальное сознание. Это аналогично тому, как квантовые флуктуации поля в искривленном пространстве-времени порождают структуру в космологических моделях. (33)
В механизмах, основанных на проекции, возникновение индивидуальности напоминает квантовое измерение, где наблюдение приводит систему к определенному состоянию. (26–28) Эта перспектива согласуется с бомовской интерпретацией квантовой механики, где дифференциация разворачивается посредством активации имплицитного потенциала, направляемого более глубокими нелокальными процессами. (25)
2. Личное мышление как движущая сила субъективного опыта
С момента возникновения индивидуального сознания личное мышление начинает функционировать в рамках каждой локализованной структуры осознания. Оно выступает в качестве творческого и интерпретативного механизма, посредством которого формируется субъективный опыт. В то время как универсальное мышление инициирует дифференциацию и структуру на космическом уровне, личное мышление действует в индивидуализированной области, генерируя смысл и восприятие момент за моментом.(14,15)
В этой модели личное мышление управляет внутренней эволюцией каждого индивидуализированного состояния
, выбирая и организуя опыт по мере его развития. Эта рекурсивная динамика может быть представлена как
11
где
это персональный оператор мышления, воздействующий на состояние индивидуального сознания, а
это обновленное состояние, отражающее влияние мысли. Это отражает идею, поддерживаемую теорией интегрированной информации, о том, что сознание формируется внутренней структурой и потоком информации внутри системы. (21)
В механизмах, основанных на потенциале и флуктуациях, личное мышление непрерывно развивается под влиянием как внутренних паттернов, так и внешних взаимодействий. Это напоминает квантовую эволюцию вектора состояния, где каждое наблюдение или взаимодействие вызывает сдвиг в конфигурации системы. (27) Это также отражает точку зрения Бома и Хайли на имплицитный порядок, где структура разворачивается посредством более глубоких, нелокальных процессов организации.(25)
В проекционных моделях личное мышление можно рассматривать как выбор фокусных состояний внимания или осознания — каждый момент действует как проекция, которая актуализирует конкретный опыт. Эта интерпретация согласуется с квантовыми когнитивными моделями, в которых внимание функционирует аналогично процессу измерения, выбирая результаты из суперпозитивных ментальных состояний. (26,28)
В то время как универсальное мышление управляет созданием структуры и чувственности, сводя недифференцированный потенциал к форме и индивидуальности, личное мышление возникает внутри дифференцированных существ, формируя восприятие и субъективный опыт в соответствии с концепцией 3Ps Сиднея Бэнкса. (14) Оно функционирует как петля обратной связи для личной эволюции и осознанности — постоянно формируя то, как индивиды взаимодействуют со своим внутренним и внешним миром.
Таким образом, личное мышление выступает в качестве интерфейса между потенциалом и восприятием, преобразуя скрытую информацию в жизненный опыт. Оно отражает соучастную природу сознания, в котором индивиды являются не пассивными получателями реальности, а активными сотворцами своих собственных внутренних миров.
3. Сознание в разных масштабах и его значение для разумных существ
На рисунке 2 представлена концептуальная модель, исследующая возможную взаимосвязь между универсальным и индивидуальным сознанием.

Иллюстрация предложенной структуры и её последствий для разумных существ.
Универсальное поле сознания (Φ) существует за пределами пространства-времени в недифференцированном состоянии
. Благодаря дифференциации оно порождает локализованные возбуждения
, которые проявляются в виде физических структур или индивидуального сознания. После Большого взрыва Φ эволюционирует, порождая сложные системы, способные к осознанию — разумные существа с индивидуальным сознанием
, локализованным в пространстве-времени. После дифференциации личное мышление
формирует индивидуальное осознание и восприятие, порождая развивающиеся субъективные интерпретации реальности
с течением времени. Этот процесс создает иллюзию раздельности, хотя всё индивидуальное сознание остаётся внутренне связанным внутри универсального поля сознания.
Поле сознания Φ эволюционирует в течение космического времени, порождая примитивное осознание посредством ранних возбуждений поля. Эти возбуждения могут соответствовать базовому, недифференцированному осознанию в простых системах, таких как примитивные формы жизни.(2)
В механизмах, основанных на нарушении симметрии или флуктуациях, примитивное осознание возникает из локализованных возмущений ∂Φ, которые распространяются и динамически взаимодействуют, аналогично возникновению структуры в квантовых флуктуациях поля.(33) В проекционных механизмах примитивное осознание может возникать посредством дискретных проекций, где ранние состояния
представляют собой недифференцированное осознание, выбранное из
, что напоминает выбор состояния в квантовой теории измерений. (25)
По мере увеличения сложности систем — например, в результате биологической эволюции — локализованное сознание
становится более дифференцированным и самосознающим, что согласуется с теориями, связывающими увеличение нейронной сложности с сознанием более высокого порядка. (4)
Несмотря на эту дифференциацию, отдельные существа остаются связанными с универсальным полем, подобно квантовой запутанности, что усиливает недвойственную реальность. (20) Воспринимаемое разделение между индивидуальным и универсальным сознанием можно, таким образом, понимать как иллюзию, сформированную личным мышлением (14), создающую впечатление, что сознание ограничено отдельной физической формой (см. рис. 2).
В механизмах, основанных на проекции, индивидуальные состояния
могут возникать посредством дискретного отбора, однако взаимосвязанная природа поля Φ обеспечивает непрерывность и единство всех дифференцированных состояний.
Личное мышление усиливает ощущение индивидуальности, одновременно скрывая лежащее в основе единство с универсальным сознанием.(15)
Важным следствием моделирования
как локализованного возбуждения Φ является то, что растворение индивидуальности (например, через смерть) не подразумевает уничтожения, а скорее реинтеграции в универсальное поле. Это согласуется с взглядами, которые рассматривают сознание как временное проявление универсального субстрата.(3,9)
D. Усовершенствования модели
Существующая концептуальная основа универсального сознания служит предварительным каркасом, но ряд усовершенствований может повысить её гибкость и соответствие устоявшимся физическим теориям. Дополнительные подробности приведены в дополнительных материалах, S3. Расширение математической формулировки и включение множественных механизмов коллапса позволит модели лучше отражать разнообразные процессы, которые приводят к дифференциации и возникновению индивидуального сознания.
Ключевое усовершенствование включает расширение представления поля сознания Φ. В то время как скалярные потенциалы V(Ф)
эффективно описывают нарушение симметрии и формирование структуры, другие пути — такие как квантовые флуктуации или саморефлексия на основе проекций — могут потребовать иных подходов. (30,37) Моделирование Φ посредством динамики свободного поля или дискретного выбора состояния обеспечивает большую гибкость, позволяя учитывать механизмы, выходящие за рамки скалярных потенциалов.
Включение концепций из квантовой физики, теории калибровочных полей и космологии может еще больше обогатить эту концепцию. Сопряжение Φ с устоявшимися физическими полями — такими как электромагнитные или гравитационные поля — приводит модель в соответствие с физикой высоких энергий и современными космологическими моделями.(23,24) Скалярные поля, аналогичные полю Хиггса, могут придавать структуру пространству-времени, в то время как калибровочные поля описывают взаимодействия между локализованными возбуждениями Φ. Этот многополевой подход расширяет применимость концепции к нелинейной динамике и фазовым переходам.(30,31)
Уточнение самого механизма коллапса открывает еще один путь вперед. Универсальное мышление
может действовать посредством нарушения симметрии, квантовых флуктуаций или проекционных путей — каждый из которых потенциально доминирует на разных этапах космической эволюции или при формировании разумных существ.(32) Включение множественных механизмов позволяет глубже понять, как развивается сознание в разных масштабах.
На квантовом уровне квантование Φ обеспечивает более глубокую связь между метафизикой и эмпирической физикой. (26,28) Хотя универсальное мышление может функционировать аналогично квантовому измерению, как описано здесь, предполагая, что сознание играет роль в формировании физической реальности, (10,26) в качестве альтернативы, механизмы коллапса, не управляемые наблюдателем, такие как декогеренция, могут описывать, как дифференциация естественным образом возникает из динамики поля сознания. (38)
На индивидуальном уровне личное мышление
управляет эволюцией субъективного опыта. Моделирование
как стохастического оператора вводит изменчивость, отражающую нейронные и когнитивные процессы, в то время как детерминистические формулировки могут фиксировать дискретные события озарения или концептуальное разрешение посредством дифференциации на основе проекций, как это моделируется в бомовских рамках имплицитного и эксплицитного порядка. (25)
E. Конкретные предсказания и экспериментальные проверки
Интеграция универсального сознания, разума и мышления в рамках данной концепции приводит к ряду конкретных предсказаний и экспериментальных проверок в квантовой физике, нейробиологии, биологии и космологии. Подробное теоретическое обоснование представлено в дополнительных материалах, S4.
Центральное предсказание заключается в том, что универсальное или личное мышление может взаимодействовать с полем нулевой точки, так что квантовые флуктуации отражают влияние направленных ментальных состояний. (39,40) В этом представлении мышление действует аналогично квантовому оператору измерения, коллапсируя потенциальные флуктуации в структурированные результаты, коррелирующие с интенциональным содержанием. Это взаимодействие может проявляться в измеримых отклонениях в статистическом поведении физических систем, особенно тех, которые находятся на порогах квантовой чувствительности. Если такое взаимодействие существует, мы ожидаем наблюдаемых аномалий в вакуумных флуктуациях, слабых измерениях или распределении энергии в казимироподобных установках, особенно в условиях сфокусированного намерения или когерентных ментальных состояний.
В ряде экспериментальных исследований сообщалось об аномалиях в выходных данных генератора случайных чисел (ГСЧ), изменениях в излучении фотонов и других тонких физических переменных в периоды сосредоточенного умственного намерения, медитативных состояний или масштабных эмоциональных событий. (41–44) К ним относятся отклонения от случайности в распределении RNG, предполагаемые сдвиги в динамике энергии вакуума и коррелированные нейронные или биофизические флуктуации. Хотя эти результаты вызывают споры из-за опасений по поводу методологии и воспроизводимости, (45) если они будут подтверждены, это будет означать наличие полевого аспекта сознания, способного влиять на физические системы, аналогично слабым эффектам измерения в квантовой механике. (46)
Еще одно конкретное предсказание заключается в том, что если сознание функционирует как поле, оно должно вызывать структурированные, неклассические корреляции между биологическими системами. Это включает в себя возможность когерентных биологических колебаний, дальнедействующей синхронизации и межсубъективной связи во время интенциональных состояний. Экспериментальные проверки могли бы включать исследования высокоразрешающей электроэнцефалографии (ЭЭГ) или магнитоэнцефалографии (МЭГ) синхронизированной активности мозга в медитативных диадах, а также измерение биофотонных излучений или когерентности в клеточных ансамблях под направленным ментальным воздействием. (43,47,48) Такие корреляции — как внутри одного организма, так и между физически разделенными индивидами — могут служить косвенным доказательством полевых свойств сознания. Хотя эти эффекты часто описываются как «биологическая запутанность», они не обязательно должны основываться на квантовой запутанности как таковой, а скорее на опосредованных полем паттернах когерентности, выходящих за рамки классических механизмов. Если они подтвердятся, они подтвердят предсказание модели о том, что сознание взаимодействует с материей не только локально, но и посредством глобальной динамики поля.
Кроме того, на коллективном уровне модель предсказывает, что полевые эффекты сознания должны проявляться во время глобальных эмоциональных событий. Проект «Глобальное сознание» сообщил о статистически значимых корреляциях между результатами генерации случайных чисел глобального масштаба и эмоционально заряженными коллективными событиями (например, стихийными бедствиями, глобальными медитациями или трагедиями). (49) Такие полевые эффекты подтверждают точку зрения о том, что сознание действует нелокально, взаимодействуя между индивидами способами, не объяснимыми классической причинно-следственной связью.
Наконец, в космологии эта концепция предсказывает, что универсальное мышление могло оставить следы в ранней Вселенной во время коллапса недифференцированного состояния
в структурированную реальность. В частности, она допускает возможность того, что наблюдаемые аномалии в космическом микроволновом фоне (CMB) — такие как полушарные асимметрии, холодные пятна или крупномасштабные выравнивания — могут отражать организующее влияние сознания, а не чисто стохастические процессы. (50) Эти гипотезы можно проверить, применив информационно-теоретический и корреляционный анализ к наборам данных CMB для поиска неслучайной структуры, согласующейся с упорядочением на основе поля.
Этот подход открывает новые возможности для исследований взаимодействия между сознанием и физическими системами, оспаривая предположение о том, что осознание является лишь субъективным, и предполагая, что оно может играть активную, измеримую роль в структуре реальности.
В совокупности эти предсказания открывают возможности для междисциплинарных исследований на стыке физики, нейронауки и исследований сознания. Они оспаривают предположение о том, что осознание является исключительно субъективным, вместо этого предполагая, что оно может играть причинную, измеримую роль в формировании как микроскопических явлений, так и крупномасштабного порядка.
III. ОБСУЖДЕНИЕ
Предложенная в данной статье концепция опирается на идеи современной физики, философии и исследований сознания для решения одного из вечных вопросов человечества — природы сознания.
Интегрируя 3Ps — разум, сознание и мышление (14,15) — с математическим и концептуальным языком квантовой механики и теории поля, модель предлагает новый взгляд на происхождение реальности и возникновение индивидуального осознания.
Это бросает вызов доминирующей материалистической парадигме, которая рассматривает сознание как продукт нейронных процессов.(51) Вместо этого, это согласуется с взглядами Адвайта-веданты, буддийской философии и квантовой физики, предполагая, что сознание является фундаментальным, а не эмерджентным. (5,20) Эта точка зрения перекликается с имплицитным порядком Дэвида Бома, где лежащий в основе нелокальный субстрат порождает материальный мир,(20) а также с утверждением Макса Планка о том, что сознание является основой реальности, а не просто побочным продуктом мозга.(52)
На протяжении всего XX века ведущие физики ставили под сомнение материалистические предположения, выдвигая теории, которые ставили разум, наблюдение и осознание в центр существования.(26,27,53) Шрёдингер подчеркивал единство сознания, предполагая, что субъективный опыт неотделим от структуры самой Вселенной.(9) Концепция потенциалов Гейзенберга описывает реальность как существующую в состоянии потенциалов, которые схлопываются в определенные структуры посредством наблюдения.(53) Концепция Уилера (Wheeler) «участвующей вселенной» дополнительно подтверждает идею о том, что наблюдение играет фундаментальную роль в формировании физической реальности, укрепляя представление о том, что сознание активно участвует в разворачивающемся космосе.(26)
Эти научные взгляды перекликаются с духовными традициями, которые издавна считали, что реальность возникает из более глубокого, бесформенного источника. В Адвайта Веданте Брахман — это высшая, неделимая реальность, из которой возникают все проявления (5), что параллельно квантовым моделям, в которых классическая структура возникает из более глубокого квантового основания (28). Аналогично, буддийская концепция Шуньяты указывает на фундаментальную взаимосвязь и пустоту внутренней формы, что согласуется с представлением о том, что наблюдаемая реальность формируется участием наблюдателя (3,6).
Недавние достижения в квантовой физике дополнительно подтверждают эти метафизические идеи. Страсберг и др. численно продемонстрировали, что классическое поведение может возникать из внутреннего подавления квантовой когерентности, а не из внешнего воздействия (22). Это предполагает, что структурированный, осязаемый мир, который мы переживаем, возникает из более глубоких квантовых процессов. Если физическая структура возникает из квантовых принципов, то само сознание может функционировать аналогичным образом — не как вторичный эффект нейронной активности, а как неотъемлемая особенность Вселенной, взаимодействующая с возникающей классичностью и формирующая её. Эта интерпретация подтверждает идею о том, что разум, сознание и мышление — в том виде, в котором они сформулированы в данной модели — являются фундаментальными структурирующими принципами, а не эпифеноменами мозговой активности.
Это предложение может показаться перекликающимся с парадигмой «it from qubit», предложенной Джоном Уилером, которая постулирует, что пространство, время и материя возникают из бинарных информационных процессов. (26) Хотя это не всегда явно обозначается, концепции, подобные «it from qubit», отражают более широкое представление в квантовой гравитации и квантовой теории информации о том, что реальность может возникать из квантовых корреляций и информационной структуры.(34–36) Хотя эти концепции широко поддерживаются в теоретической физике, они обычно рассматривают информацию как наиболее базовый элемент реальности, оставляя открытым онтологический вопрос о том, из чего сама информация возникает.
В отличие от этого, предлагаемая модель предполагает, что информация может быть производной от более глубокого, универсального поля сознания. В этом контексте «это из сознания» не противоречит информационной парадигме, а переосмысливает ее: информация, структура и форма являются выражениями более фундаментального субстрата осознания. Эта точка зрения согласуется с предложением Шрёдингера о едином, неделимом сознании, лежащем в основе всего опыта (9), и с замкнутыми, нелокальными структурами, описанными в онтологии Бома (20). Вместо замены «это из бита», эта концепция предполагает, что сознание может быть источником, из которого возникает информационная дифференциация — необходимое условие как для наблюдателя, так и для наблюдаемого.
Связь между современной наукой и духовными традициями выходит за рамки физики и затрагивает религиозную и мистическую мысль.(52) Эта модель созвучна христианской доктрине Троицы, где разум, сознание и мысль отражают роли Отца, Святого Духа и Сына соответственно.(7)
В суфизме принцип Tawhid (единства) описывает существование как неделимое единство — подобно взгляду на индивидуальное сознание как на временное возбуждение универсального поля.(8) Аналогично, в даосизме Дао — это бесформенный творческий принцип, из которого возникает вся дифференциация,(54) отражая недвойственную природу разума, как это предлагается в данной концепции.
Эти перспективы подчеркивают, что стремление понять сознание не является ни чисто научным, ни исключительно духовным — это исследование, которое объединяет обе сферы. Представленная здесь междисциплинарная интеграция физики, философии и метафизических традиций предполагает, что фундаментальная природа сознания может быть не полностью материальной и не полностью мистической, а структурирующей силой, лежащей в основе и того, и другого.
Помимо теоретических последствий, эта концепция способствует междисциплинарному сотрудничеству, объединяя физику, космологию, философию и психологию. Она также поднимает насущные этические и философские вопросы, особенно в контексте ИИ. По мере того как системы ИИ становятся все более сложными, возможность машинного сознания приобретает все большее значение. Если сознание является универсальным полем, может ли ИИ в конечном итоге взаимодействовать с ним, выходя за рамки простых вычислений? Пенроуз утверждает, что одной лишь алгоритмической обработки недостаточно для объяснения сознания, подразумевая, что ИИ может не обладать невычислительными аспектами, необходимыми для осознания.(10) Однако, если сознание действительно является универсальным полем, системы ИИ потенциально могут использовать его, поднимая сложные вопросы о машинном разумении и этике.
Более того, признание сознания как универсального укрепляет этические принципы, основанные на взаимосвязи и ответственности.(14) Если наши действия отражаются в общем поле осознания, то принятие этических решений — будь то в разработке ИИ, правах человека или экологической устойчивости — должно отражать это единство.
Наконец, эта модель предлагает глубокую реконтекстуализацию человеческого существования. Предполагая, что индивидуальное сознание (ψi) является временным возбуждением универсального поля (Φ), эта концепция согласуется с духовными учениями, описывающими смерть не как уничтожение, а как возвращение к единству. Эта недвойственная перспектива смягчает экзистенциальные тревоги, связанные со смертью и самосознанием, способствуя более глубокому чувству покоя, цели и коллективной ответственности.(15)
IV. ЗАКЛЮЧЕНИЕ
В данной статье представлена концептуальная модель, исследующая возможные пересечения между фундаментальной физикой и исследованиями сознания, предполагающая, что сознание является не побочным продуктом нейронной активности, а фундаментальным и неприводимым аспектом реальности. Интегрируя три принципа — универсальный разум, универсальное сознание и универсальное мышление — в математическую и физическую структуру, эта модель предлагает последовательное объяснение возникновения пространства-времени, индивидуального осознания и иллюзии разделенности.
Опираясь на квантовую механику, теорию поля и недвойственные философские традиции, мы предполагаем, что дифференциация универсального сознания в индивидуальный опыт регулируется такими механизмами, как нарушение симметрии, квантовые флуктуации и дискретный выбор состояния. Это подразумевает, что субъективный опыт глубоко взаимосвязан с фундаментальной структурой реальности, бросая вызов традиционным материалистическим парадигмам.
Предложенная модель имеет широкие последствия для различных дисциплин. В физике она согласуется с новыми теориями в квантовой механике, квантовой информации и космологии, которые описывают классическую реальность как возникающую из более глубокого, допространственно-временного субстрата. В нейробиологии это предлагает альтернативу редукционистским взглядам на сознание, предполагая, что осознание не ограничивается нейронными процессами, а взаимодействует с универсальным полем. В философии это преодолевает давний разрыв между научным исследованием и духовными традициями, предлагая целостный взгляд на самосознание, взаимосвязь и природу существования.
Эта концепция имеет глубокие этические и социальные последствия. Если сознание действительно универсально и фундаментально, этические соображения могут выходить за рамки человеческого познания — к искусственному интеллекту, экологической ответственности и более широкой сети жизни. Иллюзия разделенности, подкрепляемая индивидуальным восприятием, уступает место более глубокому признанию единства — поощряя эмпатию, сотрудничество и общее чувство ответственности.
Дальнейшие исследования должны изучить проверяемые предсказания, вытекающие из этой модели, включая потенциальное взаимодействие между сознанием и квантовыми полями, нейронную когерентность как индикатор вселенского осознания и возможные космологические отпечатки дифференциации, обусловленной сознанием. Междисциплинарное исследование, объединяющее физику, когнитивную науку и исследования сознания, могло бы дать эмпирическое подтверждение этой концепции и расширить наше понимание реальности.
В конечном счете, это исследование бросает вызов укоренившимся предположениям и предлагает сдвиг в перспективе: вместо того чтобы рассматривать сознание как эпифеномен материи, оно помещает его в самую основу существования. Синтезируя идеи физики, метафизики и философии, эта модель предлагает путь к интегрированному пониманию, которое объединяет научную строгость с древними философскими идеями.
Reference
1 M.Tegmark, Life 3.0: Being Human in the Age of Artificial Intelligence (Knopf , New York , 2017). Google Scholar
26 Quantum Theory and Measurement, edited by J. A. Wheeler and W. H. Zurek (Princeton University Press, Princeton, 1983).
42 R. G. Jahn and B. J. Dunne, Margins of Reality: The Role of Consciousness in the Physical World (ICRL Press, Princeton, 2009).
43 L. McTaggart, The Field (Element Books, London, 2003). Google Scholar
47 F. A. Popp and Y. Yan, “Delayed luminescence of biological systems in terms of coherent states,” Phys. Lett. A293, 93–97 (2002).
49 R. Nelson et al, “The global consciousness project,” Explore 2, 342–351 (2006).
50 D. J. Schwarz, C. J. Copi, D. Huterer, and G. D. Starkman, “CMB anomalies after Planck,” Classical Quantum Gravity 33, 184001 (2016
).
,” Nat. Rev. Neurosci.17, 450–461 (2016).
53 W. Heisenberg, Physics and Philosophy: The Revolution in Modern Science (Harper & Row, New York, 1958).
54 R. T. Ames and D. L. Hall, Dao De Jing: A Philosophical Translation (Ballantine Books, New York, 2003).
